Home
로그인
회원가입
학교상징
실천강령
학교연혁
인사말
동문회칙
조직도
총동문홈페이지
동문검색
동기주소록
기수별임원
정보자료실
홍보마당
포토갤러리
동영상갤러리
이전 포토갤러리
공지사항
동문경조사
동호회연락방
모교및동문소식
기수별소식
장학회
자유게시판
장학회
Home
> 게시판 >
장학회
제목
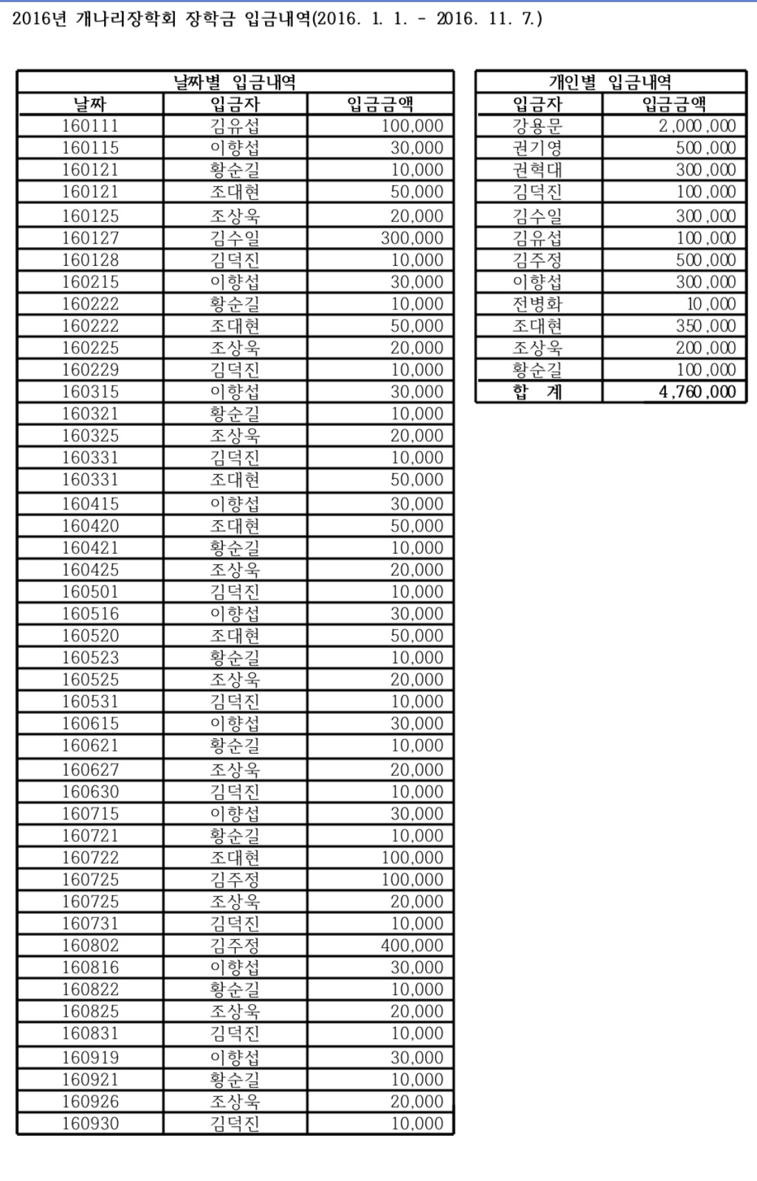
2016년 장학기금 모금현황
작성자
운영자(0) | 2016-11-09 | 422
장학기금모금현황
비밀번호
글 등록시 입력한 비밀번호를 입력하세요.